Let X Be a Continuous Random Variable With Pdf FXlambdaAlphaxalpha

Question

Probability

1.Let X be a continuous random variable with the probability density function

f(x)=k \cdot \sqrt{x}, \quad 0 \leq x \leq 4

\begin{aligned} & f(x)=0, \\ & \text{^^20otherwise.^^20}\end{aligned}

a)What must the value of k be so that f(x) is a probability density function?

b)Find the cumulative distribution function of X, Fx(x)=P(X<=x).

c)Find the probability P(1<= X <=2).

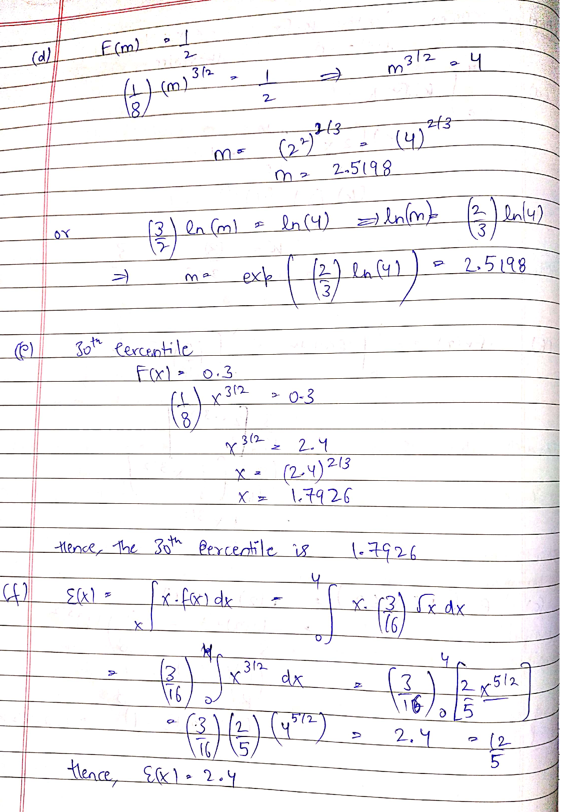
d)Find the median of the distribution of X. That is, find m such that P(X<=m)=P(X >=m) =½.

e) Find the 30th percentile of the distribution of X.

\text { f) Find } \mu_{X}=E(X) \text { . }

\text { g) Find } \sigma_{X}=\operatorname{SD}(X) \text { . }


Answer

Verified

Related Questions

Question 45667

Probability

Scores of high school students on national calculus exam were normally distributed with a mean of 86 and a standard deviation of 4.
i. What is the probability that the average score of a sample of five high school students is more than 80? Indicate any necessary assumptions.(3 ma
iii. If the distribution of the scores of high school students was not normally distributed, would your answers to (ii) change? Why?[2 marks]

Read More

Question 45003

Probability

1) A parent wanted to know how many unique arrangements could their mathematically talented baby discover with the set of 9 baby blocks shown below. There are three blocks with sides blue, red, green, and orange, two blocks with sides red and green, and four blocks with all sides black. Blocks are placed in an arrangement (left to right), but also by orientation(90 degree rotations)
a) If block orientation by distinct color matters in addition to order, how many unique patterns can be discovered by the baby?
c) Consider a different restriction with (a) and ignore the restriction given by (b). The new restriction is that no black block may appear on an end and that no more than two black blocks may abut one another. How many unique patterns can be discovered by the baby?
b) Consider the restriction that if two sides abut, red sides must abut red sides, green sides must abut green sides, but black sides can abut any colored side. How many unique patterns can be discovered by the baby?

Read More

Question 44566

Probability

\text { 2. Suppose } X \text { and } Y \text { are r.v.s with } E(X)=7, E\left(X^{2}\right)=70, E(Y)=-2 \text {, and } E\left(Y^{2}\right)=19 \text {. }
\text { (a) Compute } E(6 X-5 Y) \text {. }
\text { (b) Compute var }(-4 Y) \text {. }
(c) If X and Y are independent, find var(X + Y).
(d) If X and Y were not independent, could you find var(X +Y) with the information provided?

Read More

Question 44565

Probability

1. Let X and Y be random variables with the following joint distribution
) Fill in the marginal distributions for X and Y.
\text { Find } \sigma_{X} \text { and } \sigma_{Y}
c) Find Cov(X,Y) and exr-
O Are X and Y independent, why or why not?
) Find the conditional distribution of X given Y = 0.

Read More

Question 44412

Probability

1.Let X be a random variable for an Erlang distribution with rate 0.2 and shape 5.0 What is the expected value of X. (Give 4 decimal places)
2. Let X be a random variable for an exponential distribution with rate 0.35.What is the expected value of X. (Give four decimal places)
3. Let X be a random variable for a standard uniform distribution. What is the probability that X is between 0.15 and 0.6? (Give 4 decimal places)

Read More

Question 44260

Probability

13. This summer, when I was doing gardening, I got some seeds. The packetwith seeds said that 98% of them will germinate. I planted 21 seeds and 18of them germinated.
a. Find a 96% confidence interval for the true proportion of seeds that germinate based on this sample.
b. Does this seem to provide evidence that the claim is wrong?

Read More

Question 44259

Probability

11. My mom calls me a lot. Lets assume that the time between her calls isexponentially distributed with a mean time between calls of 160 minutes.
a. What is the probability that there are no calls within a 90-minute interval?
b. What is the probability that at least one call within a 180 -minute interval?

Read More

Question 44258

Probability

10. The rate of COVID is at 20%. (lets assume that for this problem)
a. What is the probability that the sixth patient who enters the emergency room is the first one with COVID?
b. What is the average number of patients doctors will see without COVID before the first patient with COVID.

Read More

Question 44257

Probability

9. Hospital receives an order for 1500 masks. Warehouse has 5000 but150 of them are defective. The order is filled randomly drawing from the masks in stock. What is the probability that a hospital is sent 5defective masks in the batch of 1500 they received?

Read More

Question 44256

Probability

S.....1.
a) Fill in missing values.
b) Construct 99% confidence interval.
c) If Ha was >12 instead of not = 12, what would p value be then? Rejector do not reject Ho?

Read More

Submit query

Getting answers to your urgent problems is simple. Submit your query in the given box and get answers Instantly.

Submit a new Query

Please Add files or description to proceed

Success

Assignment is successfully created

lovewoulter.blogspot.com

Source: https://tutorbin.com/questions-and-answers/1let-x-be-a-continuous-random-variable-with-the-probability-density-fu

0 Response to "Let X Be a Continuous Random Variable With Pdf FXlambdaAlphaxalpha"

Post a Comment

Iklan Atas Artikel

Iklan Tengah Artikel 1

Iklan Tengah Artikel 2

Iklan Bawah Artikel